主页 > 知识库 > (手写)PCA原理及其Python实现图文详解

(手写)PCA原理及其Python实现图文详解

热门标签:ai电销机器人源码 外呼并发线路 百度地图标注没有了 长沙高频外呼系统原理是什么 地图标注审核表 ai电话机器人哪里好 湛江智能外呼系统厂家 西藏房产智能外呼系统要多少钱 宿迁星美防封电销卡

1、背景

为什么需要降维呢?

因为数据个数 N 和每个数据的维度 p 不满足 N >> p,造成了模型结果的“过拟合”。有两种方法解决上述问题:

增加N;减小p。

这里我们讲解的 PCA 属于方法2。

2、样本均值和样本方差矩阵


3、PCA


3.1 最大投影方差

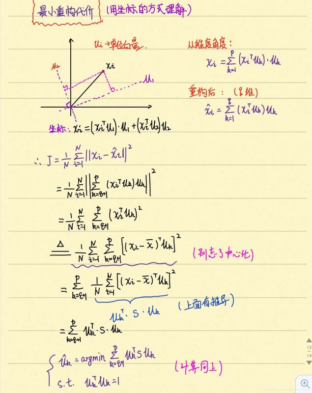
3.2 最小重构距离

4、Python实现

"""
    -*- coding: utf-8 -*-
    @ Time     : 2021/8/15  22:19
    @ Author   : Raymond
    @ Email    : wanght2316@163.com
    @ Editor   : Pycharm
"""
from sklearn.datasets import load_digits
from sklearn.decomposition import PCA
import pandas as pd
import matplotlib.pyplot as plt

digits = load_digits()
print(digits.keys())
print("数据的形状为: {}".format(digits['data'].shape))
# 构建模型 - 降到10 d
pca = PCA(n_components=10)
pca.fit(digits.data)
projected=pca.fit_transform(digits.data)
print('降维后主成分的方差值为:',pca.explained_variance_)
print('降维后主成分的方差值占总方差的比例为:',pca.explained_variance_ratio_)
print('降维后最大方差的成分为:',pca.components_)
print('降维后主成分的个数为:',pca.n_components_)
print('original shape:',digits.data.shape)
print('transformed shape:',projected.shape)
s = pca.explained_variance_
c_s = pd.DataFrame({'b': s,'b_sum': s.cumsum() / s.sum()})
c_s['b_sum'].plot(style= '--ko',figsize= (10, 4))
plt.rcParams['font.sans-serif'] = ['SimHei']  # 指定默认字体
plt.rcParams['axes.unicode_minus'] = False  # 解决保存图像是负号'-'显示为方块的问题
plt.axhline(0.85,  color= 'r',linestyle= '--')
plt.text(6, c_s['b_sum'].iloc[6]-0.08, '第7个成分累计贡献率超过85%', color='b')
plt.title('PCA 各成分累计占比')
plt.grid()
plt.savefig('./PCA.jpg')
plt.show()

结果展示:

总结

本篇文章就到这里了,希望能给你带来帮助,也希望您能够多多关注脚本之家的更多内容!

您可能感兴趣的文章:
  • Python机器学习之PCA降维算法详解
  • 在Python中使用K-Means聚类和PCA主成分分析进行图像压缩
  • python实现PCA降维的示例详解
  • Python sklearn库实现PCA教程(以鸢尾花分类为例)
  • 利用python-pypcap抓取带VLAN标签的数据包方法

标签:盘锦 南平 林芝 宁夏 漯河 大同 普洱 海南

巨人网络通讯声明:本文标题《(手写)PCA原理及其Python实现图文详解》,本文关键词  手写,PCA,原理,及其,Python,;如发现本文内容存在版权问题,烦请提供相关信息告之我们,我们将及时沟通与处理。本站内容系统采集于网络,涉及言论、版权与本站无关。
  • 相关文章
  • 下面列出与本文章《(手写)PCA原理及其Python实现图文详解》相关的同类信息!
  • 本页收集关于(手写)PCA原理及其Python实现图文详解的相关信息资讯供网民参考!
  • 推荐文章