
以上述图片举例,要求
相对
的顺时针夹角。注意:这里使用图像坐标系
1 定义求顺时针角度的函数
import numpy as np
def clockwise_angle(v1, v2):
x1,y1 = v1
x2,y2 = v2
dot = x1*x2+y1*y2
det = x1*y2-y1*x2
theta = np.arctan2(det, dot)
theta = theta if theta>0 else 2*np.pi+theta
return theta
2 求
, 然后求夹角 
v1 = [2-0, 1-0] = [2,1]
v2 = [4-0, 5-0] = [4,5]
theta = clockwise_angle(v1,v2)
print(theta*180/np.pi) # 24.77

补充:求2个向量顺逆时针(最小角度)旋转角度 Python
求向量 a 旋转到向量 b 的顺时针(逆时针)最小角度。
正常求2个向量夹角用内积公式就可以计算,然而求得的结果不包含方向信息。
如果需要方向信息的话需要引入向量的外积来帮助我们判断。

theta是两个向量的夹角,n是垂直与2维平面的方向向量,由右手定则可以判断方向。
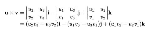
根据定义可以通过向量的坐标计算外积

这里面由于u,v是二维平面上的向量, u3 v3 都为0。 所以 u叉乘v = (u1v2 - u2v1)*K。
所以等式两边的标量相等可以求夹角rho。
rho 是带正负号的和旋转方向有关,但是范围在 -90 ~ 90度。
可以通过rho正负号,结合向量的点乘重新计算带方向的夹角。
这里面顺时针旋转为负,逆时针旋转为正。
def GetClockAngle(v1, v2):
# 2个向量模的乘积
TheNorm = np.linalg.norm(v1)*np.linalg.norm(v2)
# 叉乘
rho = np.rad2deg(np.arcsin(np.cross(v1, v2)/TheNorm))
# 点乘
theta = np.rad2deg(np.arccos(np.dot(v1,v2)/TheNorm))
if rho 0:
return - theta
else:
return theta
a = [0,1]
b = [1,0]
c = [-1,0]
d = [0, -1]
e = [-1, -1]
f = [1, -1]
g = [1, 1]
h = [-1, 1]
print(GetClockAngle(a,g), GetClockAngle(a,b), GetClockAngle(a,f), GetClockAngle(a,d), \
GetClockAngle(a,e), GetClockAngle(a,c), GetClockAngle(a,h))
'''
结果
(-45.00000000000001, -90.0, -135.0, 180.0, 135.0, 90.0, 45.00000000000001)
'''

以上为个人经验,希望能给大家一个参考,也希望大家多多支持脚本之家。如有错误或未考虑完全的地方,望不吝赐教。
您可能感兴趣的文章:- Python 计算任意两向量之间的夹角方法
- Python 求向量的余弦值操作
- 在python Numpy中求向量和矩阵的范数实例