目录
- 1 引言
- 2 公式
- 3 举例
- 4 应用
- 4.1 读入图像
- 4.2 挑选源图四个点
- 4.3 进行透视变换
- 5 应用
- 6 总结
1 引言
如果你想对图像进行校准,那么透视变换是非常有效的变换手段。透视变换的定义为将图像投影到一个新的视平面,通常也被称之为投影映射。

2 公式
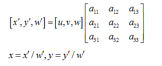
一般来说,通用的图像变换公式如下所示:

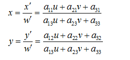
上述公式中,u,v代表原始图像坐标,x,y为经过透视变换的图片坐标,其中变换矩阵为3X3形式。进而可以得到:

3 举例
在介绍opencv的透视变换函数之前,我们举例来讲解该算法的原理:

直观的来看,透视变换的作用就是将左侧图像的坐标点
[[50,0],[150,0],[0,200],[200,200]]
转化为新的坐标
[[0,0],[200,0],[0,200],[200,200]]
通过计算我们知道,转换矩阵如下:

我们来验证一下,采用左上角的点(50,0)带入公式,如下:

接着我们将列向量的前两维度除以第三维执行归一化:

所以我们知道原图左上角点执行透视变换后的映射关系:

4 应用
本文以扑克牌的例子来进行讲解,样例结果如下:

4.1 读入图像
首先我们来读入一副彩色图像,如下:
import cv2
import numpy as np
img = cv2.imread("image/sample.jpg")
h, w, c = img.shape # h=240 w=320
4.2 挑选源图四个点
接着我们需要挑选四个点,我们这里采用左上,左下,右下和右上,下面的代码把我们挑选的四个点画到图像上
src_list = [(61, 70), (151, 217), (269, 143), (160, 29)]
for i, pt in enumerate(src_list):
cv2.circle(img, pt, 5, (0, 0, 255), -1)
cv2.putText(img,str(i+1),(pt[0]+5,pt[1]+10),cv2.FONT_HERSHEY_SIMPLEX, 0.5, (0, 0, 255), 2)
pts1 = np.float32(src_list)
结果如下:

4.3 进行透视变换
首先选择四个目的图像上的点,然后调用openv函数进行透视变换,代码如下:
pts2 = np.float32([[0, 0], [0, w - 2], [h - 2, w - 2], [h - 2, 0]])
matrix = cv2.getPerspectiveTransform(pts1, pts2)
result = cv2.warpPerspective(img, matrix, (h, w))
cv2.imshow("Image", img)
cv2.imshow("Perspective transformation", result)
cv2.waitKey(0)
得到结果如下:

5 应用
我们在实际应用中,可以使用透视变换来替换广告牌中对应的背景图,结果如下:
广告牌:

Logo图:

结果图:

6 总结
本文介绍了图像处理透视变换的原理和具体代码实现,并给出了具体应用示例。
到此这篇关于Python图像处理之透视变换的文章就介绍到这了,更多相关Python图像透视变换内容请搜索脚本之家以前的文章或继续浏览下面的相关文章希望大家以后多多支持脚本之家!
7 参考
参考 链接一 链接二
您可能感兴趣的文章:- Opencv-Python图像透视变换cv2.warpPerspective的示例
- python opencv实现任意角度的透视变换实例代码
- python实现图片处理和特征提取详解