本文适合:任何需接触数据分析工作的运营、产品、市场等童鞋~
有什么用:帮助运营童鞋解决工作中常遇到的数据问题,轻松玩转数据,真正用数据驱动运营。
阅读时长:可学习的知识点较多,建议学习时长为15-30分钟!
文章内容:
1. 不知道该分析哪些数据?从哪些角度入手分析?
2. 要等待分析师漫长的排期?能否自己搞定数据分析?
3. 作为小白的运营童鞋,如何制作让老板满意的好看图表?
4. 如何快速找到数据背后的问题和原因?
在这个数据驱动运营的时代,数据不仅是数据工程师和分析师的事情,在工作中也要求运营从业者有一定的数据分析能力,更有人说“数据分析能力是未来运营的分水岭”。从我自身角度出发,真心觉得数据能更好推动运营策略和工作的开展。
但运营童鞋多是数据小白,没有编程和技术基础,那我们该怎么分析并用好数据呢?今天从运营常见的数据问题出发,希望让大家能快速地入门数据分析,让数据更好地为工作服务,别白白浪费数据的价值。
一、不知该分析哪些数据?从哪些角度入手?这是运营小伙伴们最头痛的问题,不知道该关注、分析哪些数据,就算拿到数据后,也不知道到底从哪些方面去分析这些运营数据。给小伙伴们整理一些运营常见的数据指标,也总结了一些比较适用的分析角度,希望有用~
1. 互联网运营关注的常见数据指标比较多,请耐心看完或收藏。
流量
访问:PV、UV、IP(最常见);跳出率、平均访问时长、平均访问页数等;使用设备、操作系统、浏览器、地域分布等访问行为;
注册:注册人数、注册走势、累计注册人数、达成率等;
渠道&推广:来源渠道分布、总消费、展示量、点击率、点击率、平均点击价格、转化率、转化成本、ROI等;
用户
活跃/登录:DAU、WAU、MAU、活跃率、登录人数等;
留存:次日留存率、周留存率、月留存率等,还有按渠道去分析留存率;
流失:流失数据容易被遗忘,包括流失率,流失人数、每日平均流失人数等;
付费:付费人数、付费转化率、单笔订单平均金额等,更多看订单数据;
其他:每日评论人数、收藏人数、分享人数等
头像:一方面分析用户属性:关注年龄、性别、学历、职业、地域、婚否、收入、兴趣等;另一方面分析用户行为:登录次数、活跃率、累计消费金额、最近一次购买、购买次数、复购率等;
订单
付费人数、新增付费人数;
总金额、每日订单数、平均每日成交额、客单价;
付费金额、付费毛利、付费利润、复购率、ARPU、付费各个路径转化等;
内容
PV、UV;
UGC、PGC
文章数、关注数、阅读数、互动数(评论、点赞等)、传播数(转发、分享等);
活动
活动页PV、UV
新增人数、参与人数、登录人数、转化人数
转化成交金额、ARPU
优惠券发放/使用人数、营销成本、营销转化率、ROI
分享人数、分享次数等。
数据要根据活动类型而定;
服务
电商、O2O等行业易涉及,包括:
咨询人数、咨询转化率、退货率、退款率、好评率、差评率、投诉率等 ;
APP
各渠道下载量、激活数、新增注册数、获客成本;
启动次数、启动人数、停留时长;
push到达率、打开率等,其他参考以上数据。
数据分析有各种高大上的分析原则,比如AARRR模型、5W2H等,但是运营毕竟不是专业的数据分析师,主要能用好这些原则就够了~
对比:分成横向和纵向对比,比如纵向的同环比分析,横向的不同产品、不同渠道的对比等;
走势(变化):指标随时间的变动,表现为增幅(同比、环比等);
分布:这个好理解,比如说用户不同年龄段的分类、不同职业的分布、不同地域分布等;
细分:从多层级去了解数据,比如分析全国不同省份不同城市的具体订单数据,从全国—省份—城市一一下钻深入分析;
转化:主要体现在结果的最终转化、各个路径的转化,比如通过整个注册流程的转化分析来优化细节;
预测:根据现有情况,估计下个分析时段的指标值。
举个实际例子吧~
某水果O2O平台想确认未来一周各品类应准备的数量,若没有数据的支撑,那只能由人工结合经验得到一个大致结论,一般误差比较大导致水果浪费较多。该怎么解决这个问题呢?
当有了往常数据,数据走势有了一定的规律,可通过数据预测来得到一个比较合理、比较准确的数值,再通过不断预测—验证得到一个最佳方案,保证水果备货刚刚好,减少浪费,节约成本,这就是数据的价值。

(绿色:日常数据走势;黄色:未来10天数据预测)
二、要等待分析师漫长的排期?能否自己搞定数据分析?分析师身负多个部门的数据分析工作,有时从提需求到最终拿到数据,2、3天都过去了,且不说分析结果是否是你想要的,就时效性而言,这份数据结果的意义也减弱了,如何变身自己的“专属分析师”呢~
数据分析的整个过程:
确定指标—数据收集—数据整合—数据处理/建模—数据分析—数据呈现(可视化)—报表汇报
确定指标:不多说了,可参考一下第1个问题。
数据收集:可通过公司数据库埋点获得,可通过第三方平台获得,也通过一些记录的本地数据获得。
数据整合:运营人要看的数据太多了,有数据库,有各种第三平台的数据(友盟、统计、推广、公众号等),每次都需要从不同平台取数据,太分散了,最好能在一个数据平台集中管理数据。
数据分析:可参考分析方法,比如“求和、计数、同环比、多粒度下钻”等分析,一般在excel中需通过写公式搞定。
数据呈现(可视化):简单地说,即如何制作好看的图表,请直接学习第3个问题。
报表汇报:将数据通过表格、图表或其他形式向领导汇报。
如何不依赖分析师,自己搞定数据分析呢?
学习一些数据分析理论。(数据思维)
了解、熟悉业务,这点很重要。(业务思路)
学习一些数据分析工具。(工具辅助)
以我的个人经验来看,真正把握这些真真是够了~毕竟我们不是专业的数据分析师,能做好业务分析足以!
三、运营童鞋如何制作让老板满意的好看图表?没有哪个老板喜欢杂乱的表格数据,颜值才是王道啊。简单地说,就是数据如何可视化,让数据直观、明了。
分析数据占比:分析单维度的数据占比可用饼/环图、分析多维度的数据占比,可用旭日图和矩形树图。
比如,用户性别的占比分析只有“性别”一个维度,用饼/环图展示,男女比例非常直观,比如下图明显是男性用户偏多,若用户群体符合初衷和产品特征,那运营方式不妨可以尝试一些“可爱风”,也许这样更能吸引男性用户。营销活动也可以考虑选择一些科技类产品作为奖品,也许更能促进男性用户的购买力,达到活动目的。

(单维度:用户性别分析)

(多维度:不同地区不同渠道的订单分析)
分析数据同环比趋势:分析单维度的同环比可用指标卡、分析多维度的同环比可用双轴图。
同环比太常见了,几乎什么数据都要跟之前有个对比,这样才能更体现目前数据的“运营价值”。
最常见就是PV、UV的同环比了,比如UV环比下降了,是正常还是不正常。正常是因为UV可能存在一定规律,可能周五的UV就比周四低,那数据属于正常。若没有固定规律,那有异常波动一定要寻找背后的原因,尽快处理问题,以防再犯。

(单维度:PV环比和UV环比分开)

(双维度:PV环比和UV环比放一起)
分析数据走势:最常用的是折线图,柱状图也可以表达,直观度略低于折线图。

(双折线图)

(柱状图)
分析地区分布:全国、省份分布可用行政地图,更详细的地域分布可用经纬度地图。
用户地域分析也是非常重要的,这可能决定了公司业务会在哪些区域重点投入、重点销售。这也是公司广告需重点投放哪些区域的数据指导,对于每年竞价投入几百万、几千万的公司,正确的用户地域分析可节省很多不必要的投入,给公司省钱老板可乐意了。

(行政地图)

(沈阳地区轨迹动态地图)

(各省份注册用户数完成率)
分析任务完成进度:单项指标可用计量图,多项指标可用子弹图,进度完成情况一目了然;

(单项KPI完成进度)

(各项运营指标完成进度)
分析用户活跃频次变动:可用桑基图。

(用户活跃情况变化)
分析词频:比如用户的职位分布,可用词云~

(用户职位分布)
分析转化效果:那肯定用漏斗图最最合适。

(用户咨询转化率)
关于转化,分享一个自己身边的真实故事:
之前在一家电商公司工作,每天网站流量都不低,但最终的支付转化率始终不高,从流量—注册转化还可以,从注册—浏览转化也还可以,但就是浏览—支付转化不高。
通过不断找原因,通过用户调研和数据分析(埋点)发现大部分用户都到了支付页,但支付入口在移动端不太明显导致很多用户弃买,这当然要改,优化后整体转化率确实提高了。通过数据发现问题—找原因—优化—通过数据验证可行性,这真的是一个良性循环。
所以每个数据图表都有适合的使用场景,用好各种图表很重要,因为它直接影响到数据的直观和美观程度。
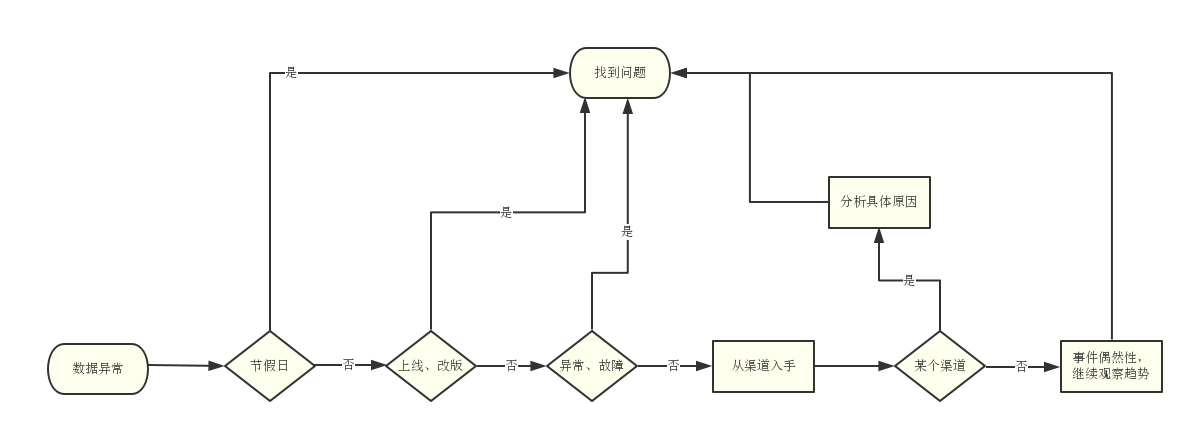
四、如何快速找到数据背后的问题?做了那么多的数据工作,最终无非是为了从数据中去发现问题,不断优化运营策略。不论数据是上升了还是下降了,肯定有其变化的原因,这里以用户数据变化为例了解一下快速找到问题的思路~
Ps:这只是个人结合工作得到一些经验,不一定非常准备,大家可结合自己的网站和产品去分析~

节假日波动:大部分产品都会受到节假日、周末的影响,办公软件节假日/周末数据一般都会下降,电商产品节假日/周末数据一般都会上升。
上线、改版:上线不一定单指功能上线,比如营销活动上线、广告渠道新上都算是上线,网站任何变动都可以理解成“上线”。
异常、故障:服务器故障、渠道被迫下线、网站访问不了、链接异常等,链接访问不了是比较常见的情况。
以上3种都不是,那就下钻从渠道入手,看哪个渠道数据有异常,再结合具体问题进行分析。(Ps:有时候从渠道发现异常的,所以这个流程的顺序不是绝对的)
以上几种都不是,实在找不到原因,只能跟老板说:“原因未明,将持续观察趋势,以确认其偶然性”。哈哈,开玩笑哈~

有些问题显而易见,有些问题排查需要一些时间,看数据最终的意义还是要结合实践。看数据—发现问题—解决问题—再看数据—问题解决,或者看数据—发现增长—找到原因—继续应用,总之:取其精华去其糟粕,你懂得~
总之,数据对运营来说非常重要,分析好相关数据,真正发挥数据的价值,用数据来指导运营工作,真正实现数据驱动运营,不要让其成为一句空话哈!
-End-
以上就是为大家介绍的作为数据小白,如何发挥数据运营真正的价值?,希望对大家有所帮助,现在互联网已经进入到了短视频时代,如果需要抖音广告开户,抖音直播间付费推广开户或者托管的,都可以找我们咨询,现在开户优惠多多,还有返点,添加微信了解:veteran88
上一篇: 上一篇:【荐读】基于文本数据的消费者洞察
下一篇: 下一篇:比“拍一拍”还神奇?微信这些「新功能」有点东西