随着互联网人口红利的消失,各大互联网产品都争先恐后开始做用户增长,希望以最低的成本拉新促活更多用户。用户增长的策略和手段有很多,其中互联网效果广告投放是非常重要的一种手段。
在互联网广告投放过程中,负责投放的运营同学为了保证最优的投放收益率,会从广告的各个角度去做投放优化,如:文案、图片、排版、媒体位置以及定向人群等等。而数据分析能从量化的角度指导运营如何去投放广告,如何优化投放组合,从而降低用户获取的成本。所以本文会介绍一些互联网广告投放中的数据分析方法论。
一、信息流广告的业务介绍信息流广告是移动互联网时期产生,**在内容流中的广告,信息流广告有图文、图片、短视频等不同形式。因为信息流广告是完全以同样的形式**在内容流中,所以用户打扰性低,不注意左上角的“广告”二字,很容易被当作普通内容来浏览甚至互动。
因为信息流广告完美平衡了媒体、广告主和用户的利益,而且信息流广告可以通过算法实现“千人千面”的推送,所以信息流广告已成为媒体广告商业化的重要部分。常见的信息流广告:微信朋友圈、今日头条和抖音等等。
从信息流广告的生态看来,目前涵盖了广告主、媒体、第三方创意平台、数据平台以及监控平台等。

第三方创意平台:提供可按行业、媒体、广告样式、素材类型、设备、时间等多维筛选查看投放素材;
第三方数据平台:提供的服务一般包括用户洞察即消费者画像、用户/人群包管理及投放转化分析;
第三方广告监测平台:提供的是投放、效果数据的统计监测服务。广告主是流量的买方,媒体或投放渠道是流量的卖方,监测任务一般由第三方机构来担任。
当前信息流广告主要是以RTB(公开竞价)的方式售卖,媒体会将广告位售卖给使他们收益最大化的广告主,通常用eCPM(预估千次展示收益)来衡量一个广告能给媒体带来的收益。其中eCPM=CPC出价*预估CTR,至于为什么用eCPM衡量广告带给媒体的收益,如果一个位置的CPC出价很高,而且点击的可能性也很大,那么媒体获得收益最大化。

在竞价成功获得广告曝光机会后,广告的实际收费并不是按照出价计费;而是采用第二高价机制,即根据第二名出价的eCPM和广告本身的预估CTR计算出来的,具体计算公式为:

根据广告竞价的逻辑以及最后计费的逻辑,可以推导出预估CTR是广告竞价成功的重要影响因素,也是提高广告ROI的重要因素。而预估CTR和人群定向、投放时间、投放上下文、素材类型都有强相关性,怎样的投放组合下预估CTR最优,是需要从多次广告中积累的。

目前在广告投放业务中,需要大量数据分析的场景主要包括以下三个方面:
广告投放效果分析;
广告投放优化分析;
广告反作弊异常分析;
在做广告投放效果分析,首先要明确广告投放的衡量指标。不同的业务场景有不同的效果衡量标准,但是大体上都是以用户转化率和产生收益额来推导。以电商行业的信息流广告投放为例,广告投放后用户转化路径如下:

因此,我们日常重点关注的指标包括以下部分,一般ROI是渠道价值重点衡量指标,因为他表示了流量成本和转化收益的真实关系。ROI都是基于一定时间周期计算而得到,如24小时ROI、7天ROI等等,这个可以根据实际需求来选择。

在确定衡量指标ROI后,我们由此来判断广告投放组的转化是否达标;对于不达标的投放组合,可通过公式拆解的方法判断是转化率太低还是客单价不合格或者还是成本消耗太高;再针对性的去优化问题,
如转化率低:可以从产品角度优化用户转化路径,从运营角度优化广告素材和人群定向;
客单价低:可以从产品角度优化针对新客的活动,从而提升用户粘性,从运营角度增**细化运营充分挖掘不同用户的潜力;
成本消耗太高:运营角度可以提升广告的预估CTR,降低出价。
影响广告转化率的因素很多,如广告定向人群、广告创意、广告文案、广告位置等等。在前文的竞价广告的竞价原理里也提到,通过提高预估CTR,可以提升ROI。因此,在广告投放中需要找到最优的投放组合,提升CTR或者转化率,从而提升ROI。找寻最优的投放组合,目前用到最多的方法是AB测试,以及用朴素贝叶斯算法预估转化率比较高的人群定向投放组合。
设计试验
确定效果衡量指标:点击率和转化率;
如下面的例子,我们同时设置两组AB测试组;分别测试性别和系统版本在同一创意下,转化率和点击率是否有显著差别。

2. 广告投放,数据收集
对照组和试验组同时上线,收集广告曝光、点击和转化数据,一般数据收集量需要满足:
1、点击率和转化率已经稳定;
2、数据量级满足AB测试的显著性分析
广告点击率一般在3%左右,根据历史投放经验一般保证曝光量能在10000次以上。
如对于上面提到的两组测试组,我们收集到的数据为:

3. 显著性检验,得到结论
构建零假设和备择假设,零假设总是相等,备择假设总是不等
广告投放的AB测试中,主要是对比点击率和转化率;即双边检验(p1和p2有显著差异):
零假设:p1 = p2 备择假设 p1 <> p2;
b. 构造统计量
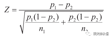
广告的点击率和转化率都是比例指标,根据中心极限定律可以知道他们一般近似服从正态分布。所以,点击率和转化率的AB测试就是比例之差的双边检验,检验的统计量也是服从正态分布,具体公式是:

c. 计算z值,判断是否拒绝零假设
双边检验:z变量的值介于-1.96~1.96之间时,已经涵盖了95%的可能结果;因此对于95%的显著性水平,如果上面计算的z值在这个范围之外,则可以拒绝原假设;
以上面的例子计算z值,可以看出性别男和女的点击率和转化率没有显著差异,操作系统Android和iOS在点击率上有显著差异。

这是一个总体比例的ab测试工具,输入转化值即可输出P值和是否显著,对于日常分析非常方便:https://vwo.com/tools/ab-test-siginficance-calculator/
朴素贝叶斯算法,优化广告定向朴素贝叶斯算法是基于朴素贝叶斯公式进行分类的一种算法,可以计算出属于某一类的概率;之所以称为朴素,是因为它假设特征之间是相互独立的。但是在现实生活中,这种假设基本上是不成立的。即使是在假设不成立的条件下,它依然表现得很好,尤其是在小规模样本的情况下。
贝叶斯的公式是:

其中P(A|B)表示:B发生后A发生的概率;通过贝叶斯公式可以看出计算P(A|B)只需计算出后三项。下面以实际信息流投放案例进行介绍:
1. 获取受众的画像及转化数据
假设已知广告定向的用户转化数据如下:

2. 基于朴素贝叶斯计算概率
这个可以基于上面受众画像数据和贝叶斯公式推导计算;
假设我想知道广告定向X=(性别="男",年龄="35~39岁",操作系统="iOS")的用户转化的可能性,
可以计算得到P(转化="1"|X)=0.9275,
即广告定向X=(性别="男",年龄="35~39岁",操作系统="iOS")下,用户转化的可能性为0.9275
3. 广告定向的投放指导
通过朴素贝叶斯算法,以及历史转化数据的用户画像分布,可以计算各个广告定向组合下的转化概率。这样可以对于那些高转化率的广告定向组合优先投放,或者给予高转化的定向组合更高的出价,低转化概率的定向组合更低的出价,达到广告转化效果的整体优化。
反作弊是一个比较复杂的过程,在金融、支付、内容生产及广告等多个业务场景下都必须做的事情,是一个一直需要提升且不断和黑产对抗的过程。而对于广告反作弊,识别异常流量和转化的主要用途是:一方面可以计算修正ROI,更合理的评估渠道质量;一方面可以识别异常,实时拦截减少异常流量消耗。
一个完整的反作弊体系,涵盖了异常监控、发现异常、分析异常以及处理异常的过程;数据分析人员要用到规则、指标及模型等多种手段方法才能做好异常发现。因此,本文不详细展开讲广告反作弊这一部分。
三、结束以上就是广告投放过程中,数据分析师经常需要做的工作。总结一下,广告正式投放前,会通过AB测试找寻最优投放组合;通过贝叶斯算法预测最优广告定向;广告投放后,会基于ROI等指标分析广告投放效果,对渠道价值进行衡量,并协助产品和运营优化广告转化提升ROI;另外,在广告正式投放后,需要从数据角度分析发现异常激活和异常订单,再基于修正总GMV(去掉异常GMV后)去更合理的衡量渠道价值。
希望上面介绍的广告投放数据分析方法,能对你日常的工作或者学习有帮助~
-END-
以上就是为大家介绍的信息流广告投放如何做数据分析?,希望对大家有所帮助,现在互联网已经进入到了短视频时代,如果需要抖音广告开户,抖音直播间付费推广开户或者托管的,都可以找我们咨询,现在开户优惠多多,还有返点,添加微信了解:veteran88
上一篇: 上一篇:深度聊聊你的小红书真的需要换号?
下一篇: 下一篇:针对5种用户类型,在线教育如何低成本邀新?